近日,我校侯清玉教授团队在单层AlN光催化性能研究中取得新进展,研究发现,单层Al34HiMN36更适合被用作光催化剂。

侯清玉教授团队(后排右二为侯清玉教授,后排左一为文章第一作者张彦霞)

模型 (a) AlN 原胞; (b) 单层 AlN 原胞; (c) 单层 AlN 超胞; (d) 单层 Al35HiN36 和 Al34HiMN36 (M = Be, Mg, Ca)。图中1、2、3表示M(Be、Mg、Ca)和VAl的相对位置
单层AlN因其原料丰富、易合成、稳定性高、易改性等特点,引起许多学者的关注。现有报道中关于点缺陷对单层AlN磁光性质的影响均疏忽了Hi的存在。其次,AlN本身也存在VAl,单独的VAl形成能较高,容易和杂质H形成缺陷复合体。掺入Be/Mg/Ca元素后,由于d0 铁磁性的掺杂原子是非磁性的,体系产生磁性是本征的,因而没有第二磁性相存在。且二维材料与三维块体材料相比,表面积相对更大,载流子的迁移距离相对更短,迁移率相对大、电子-空穴不易复合,可以提高空位活性,促进光催化过程中载流子分离,因而更具研究价值。
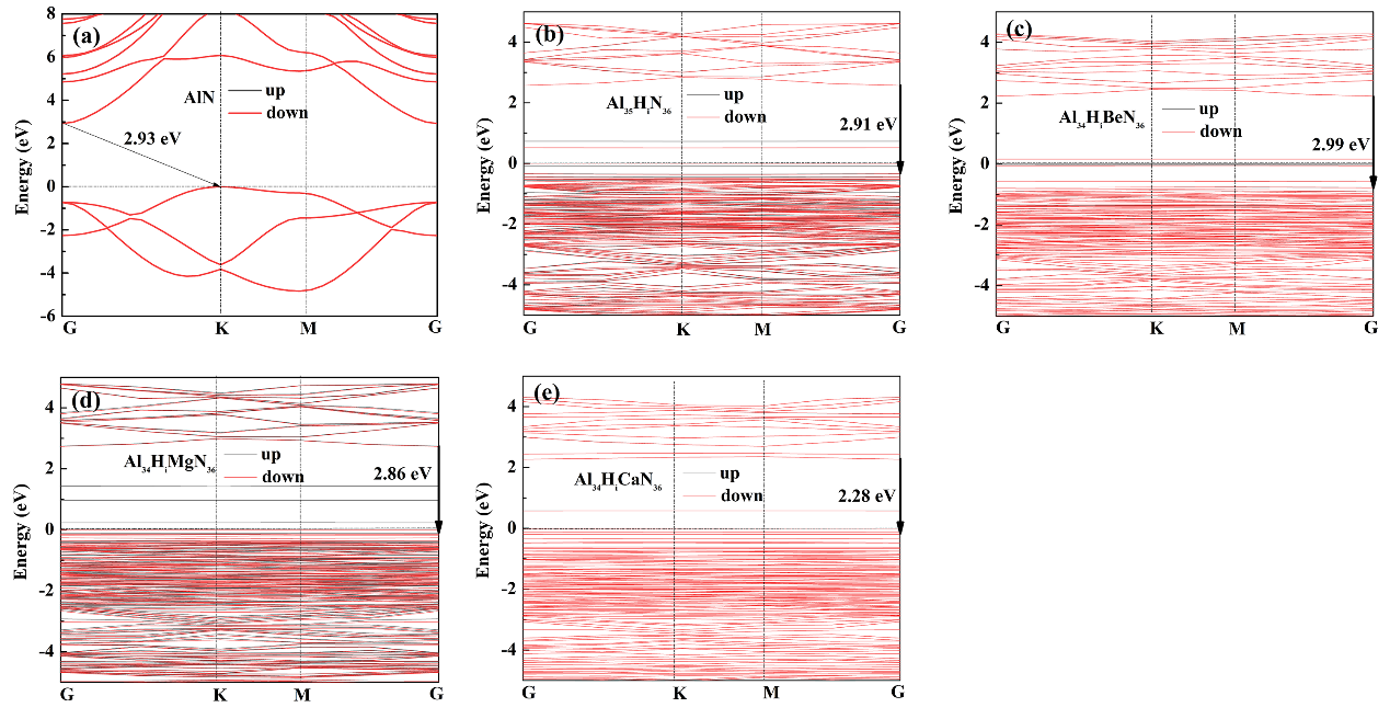
基于上述考虑,侯清玉教授团队通过第一性原理计算方法,系统研究了点缺陷(Hi-VAl)对单层AlN:Be/Mg/Ca磁性和光催化性能的影响,从态密度和能带的计算表明,所有含杂质体系均为直接带隙半导体。同时发现,单层Al34HiMN36体系满足杂质能级与费米能级重合或在其附近有利于陷阱作用,电子与空穴不易复合,载流子寿命相对最长。

所有体系能带结构分布图
研究人员计算了所有体系的有效质量比值以及电偶极矩,结果表明,单层Al34HiMN36的空穴和电子最不易复合,载流子寿命相对最长、活性最好。通过带边位置计算表明,与单层AlN相比,单层Al34HiMN36的还原性和氧化性最强,带边位置变化较大,说明有效改善了单层AlN的氧化还原性。这对分解水制氧和制氢均有利。此研究对设计和制备新型单层Al34HiMN36光催化剂有一定的理论参考价值,且对半导体物理或材料物理学科的发展提供了一定的理论支撑。

所有体系带边位置图
相关研究以“First-principles study of the effect of point defects (Hi-VAl) on the magnetic and photocatalytic properties of monolayer AlN: Be/Mg/Ca) ”为题,于8月11日在线发表于期刊《Applied Surface Science》 (一区,IF:7.392) 上。侯清玉教授为该文章通讯作者,材料科学与工程学院2021级博士研究生张彦霞为第一作者,内蒙古工业大学材料科学与工程学院为第一完成单位。

文章截图
论文链接:https://doi.org/10.1016/j.apsusc.2022.154506
文字、摄影:材料科学与工程学院